Функция. Область определения и множество значений
Вспомним
Функция - соответствие между двумя множествами, при котором каждому элементу
одного множества соответствует единственный элемент другого множества.
Независимая переменная или аргумент: x
Зависимая переменная или функция: y
Обозначение: y = f(x)
График функции - множество точек координатной плоскости, абсциссы которых равны
значениям аргумента, а ординаты - соответствующим значениям функции.
Область определения функции
Множество значений аргумента называют областью определения функции,
обозначается как D(y) или D(f).
Область определения функции
Функция y = f(x) называется заданной, если указана область определения функции и
правило, по которому каждому значению независимой переменной ставится
единственное значение зависимой переменной
Например, задана функция f(x) = (x - 1)2 + 2, где -2 ⩽ x ⩽ 5, областью определения
которой является отрезок [-2; 5]. То есть D(f): x ∈ [-2; 5] или D(f) = [-2; 5]
Если функция y = f(x) задана формулой и область определения не указана, то область
определения состоит из всех допустимых значений x, для которых f(x) имеет смысл
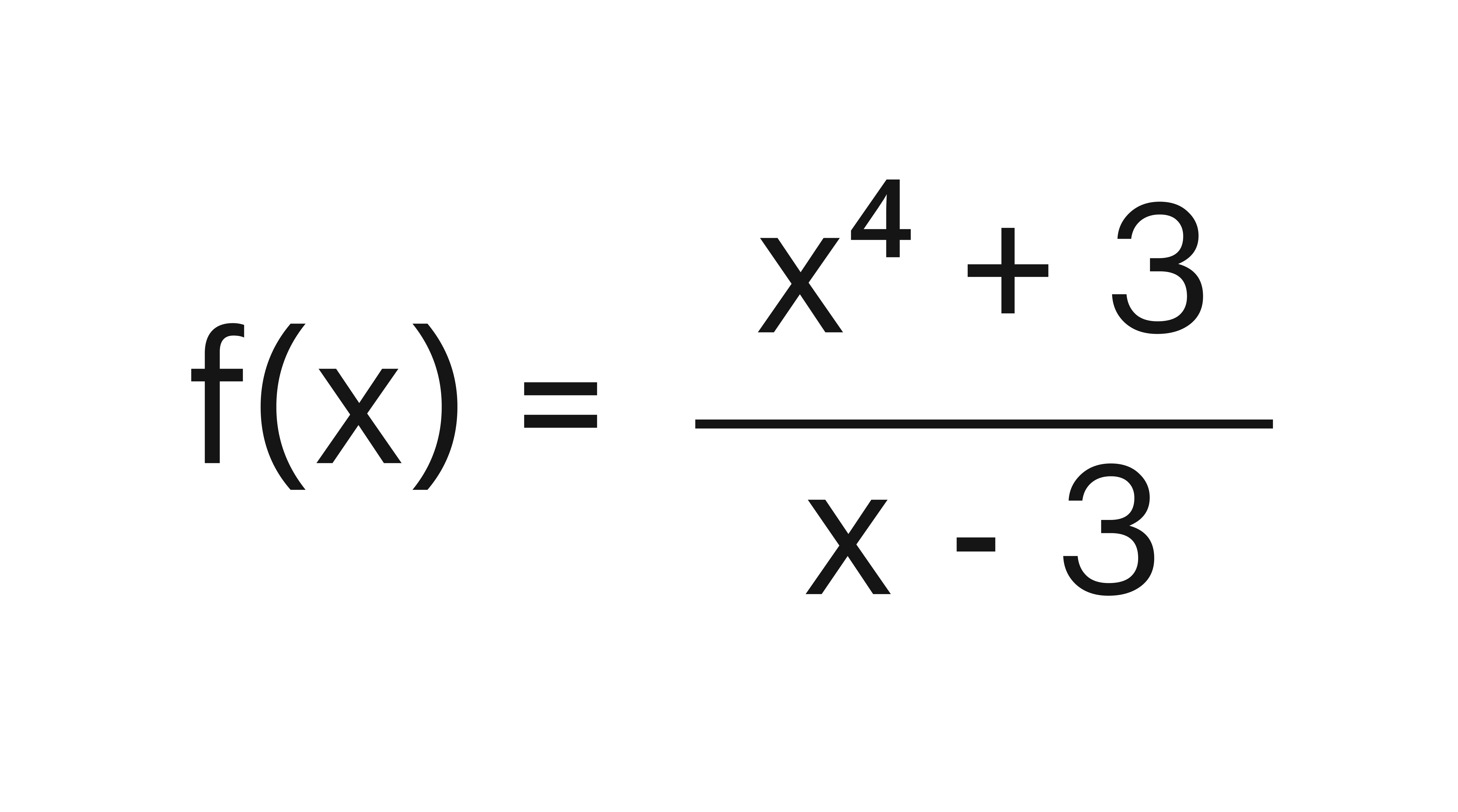
Например,

Область определения функции
так как знаменатель не может обращаться в ноль, то
областью определения будет множество действительных чисел за
исключением числа 3.То есть D(f): x ≠ 3 или D(f) = (-∞; 3) ∪ (3; +∞)
Область значений функции
Содержимое блока: Областью значений функции называется множество значений,
которые может принимать зависимая функция, обозначается как E(y) или E(f)
Область значений функции
Например, функция f(x) = x2 - 3 имеет D(f): x - любое, тогда E(f) = [-3; +∞).
Функция f(x) = 2x + 5, где 0 ⩽ x ⩽ 10, D(f) = [0; 10], а E(f) = [5; 25]
Нахождение области определения и области значений по графику
Рассмотрим график некоторой функции

Нахождение области определения и области значений по графику
Содержимое блока: По графику видно, что область определения функции [-3; 5]. Наибольшее значение данной функции –6, а наименьшее -2, тогда область значений функции [-2; 6]
Область определения и область значений прямой
Уравнение прямой имеет вид y = kx + b (частный случай – прямая пропорциональность y = kx)
Областью определения прямой является множество вещественных чисел ℝ
Областью значений прямой, при k ≠ 0, является множество всех чисел, а при k = 0 – одно число b

Гипербола
Графиком функции y=k/x называется гипербола. Областью определения и областью
значений гиперболы является множество вещественных чисел за исключением нуля
Построим функции y = -1/x и y = 1/x

Гипербола
Гипербола, в которой k > 0 расположена в первой и третьей четвертях, если k < 0, то во второй и четвертой четвертях
Область определений и область значений пройденных функций
Рассмотрим ранее изученные функции.
Парабола имеет область определения (-∞; +∞) и область значений [0; +∞)
Ветвь имеет область определений и область значений [0; +∞)
Модульный график имеет область определения (-∞; +∞) и область значений
[0; +∞)
Кубическая парабола имеет область определения и область значений (-∞; +∞)
